D. Perpindahan Kalor
Perpindahan kalor
dapat terjadi melalui tiga cara, yaitu: konduksi, konveksi dan radiasi.
1. Konduksi (hantaran panas)
Konduksi adalah
hantaran kalor yang tidak disertai degan perpindahan partikel perantaranya.
Pada perpindahan kalor ini yang berpindah hanya energinya, tanpa melibatkan
partikel perantaranya. Perambatan seperti ini biasanya terjadi pada benda padat
dan gas yang dimampatkan.
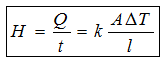
Untuk menghitung
besarnya energi yang dipindahkan setiap waktu dapat digunakan persamaan sebagai
berikut:
Keterangan:
H = energy yang mengalir setiap waktu
(J/s)
Q = energy kalor (kal atau J)
k = koefisien
konduksi termal (J/s.m2.K)
2. Konveksi (aliran panas)
Konveksi adalah
hantaran kalor yang disertai dengan perpindahan partikel perantaranya.
Perambatan seperti ini umumnya terjadi pada gas dan zat cair.
Contoh dari
peristiwa konveksi adalah perpindahan kalor pada zat cair yang dipanaskan,
angin darat dan angin laut dan lain-lain.
Secara matematis
dapat dirumuskan sebagai berikut:
Keterangan:
h =
koefisien konveksi termal (J/s.m2.K)
3. Radiasi (pancaran panas)
Radiasi adalah
hantaran kalor yang tidak memerlukan medium sebagai perantara, seperti kalor
cahaya matahari yang sampai ke bumi.
Energy kalor yang
dipindahkan secara radiasi sebesar:
dengan
Keterangan:
W = energy yang dipancarkan tiap satuan
waktu tiap satuan luas (W/m2)
P = daya pancaran tiap satuan waktu (J/s
atau watt)
e = emsivitas benda (
)
)
s = tetapan Stefan Boltzman (5,67.10-8
W/m2K4)
A = luas permukaan (m2)
T = suhu
mutlak (K)




0 Response to "Perpindahan Kalor"
Posting Komentar